정전기의 기본 법칙 중 하나는 쿨롱의 법칙입니다. 같은 극성의 전기는 밀어내고 다른 극성은 끌어당긴다는 원리에서 밀고 당기는 힘의 계산을 쿨롱의 법칙으로 합니다.
쿨롱의 법칙의 역사
쿨롱의 법칙은 1785년 샤를 오귀스탱 드 쿨롱에 의해 처음 발견되었습니다. 쿨롱은 전하의 움직임에 관심이 많았던 프랑스의 물리학자였습니다. 그는 두 전하 사이의 힘을 측정하는 일련의 실험을 수행했습니다. 쿨롱은 두 전하 사이의 힘이 전하의 곱에 정비례하고 두 전하 사이의 거리의 제곱에 반비례한다는 사실을 발견했습니다. 이 발견은 쿨롱의 법칙의 발전으로 이어졌으며, 오늘날에도 전하의 움직임을 설명하는 데 사용되고 있습니다.

쿨롱의 법칙 공식
같은 극성의 전기는 반발하고 다른 전기는 당깁니다.
두 전하 사이에 작용하는 힘에 대하여 쿨롬의 법칙이 적용됩니다.
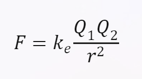
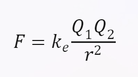
쿨롱의 법칙의 수학 공식은 다음과 같이 표현됩니다.

여기서 F는 두 전하 사이의 힘, k_e는 쿨롱 상수, Q1과 Q2는 두 입자의 전하, r은 두 입자 사이의 거리입니다. 전하의 SI 단위는 쿨롱(C)이고 거리의 SI 단위는 미터(m)입니다. 힘의 SI 단위는 뉴턴(N)입니다. 쿨롱 상수인 k_e는 대략 9 x 10^9 Nm^2/C^2와 같습니다.
예제: 진공 속에 각각 +2C와 -3C의 전하를 가진 두 점전하가 0.5m 떨어져 있다고 하면, 이때 두 전하 사이에 작용하는 힘의 크기와 방향은 얼마인가요?
풀이: 쿨롱의 법칙에 따라 두 전하 사이에 작용하는 힘의 크기는 다음과 같습니다.

여기서 k_e는 쿨롱 상수로 약 9 x 10^9 Nm^2/C^2 입니다. Q1과 Q2는 각각 +2C와 -3C, r은 0.5m입니다. 따라서
F = (9 x 10^9) x (2 x -3) / (0.5)^2 = -108 x 10^6 N
힘의 부호가 음수이므로 두 전하는 서로 끌어당기는 힘을 받습니다. 힘의 방향은 +2C 전하에서 -3C 전하로 향하는 방향입니다.
결과: 두 전하 사이에 작용하는 힘의 크기는 약 108 MN(메가뉴턴)이고, 방향은 +2C 전하에서 -3C 전하로 향합니다.
전하와 그 속성
전하란 물질의 기본 속성입니다. 양전하 또는 음전하일 수 있으며, 같은 전하끼리 서로 밀어내고 반대 전하끼리 서로 끌어당깁니다. 전하의 단위는 쿨롱(C)입니다. 전자의 전하량은 -1.602 x 10^-19 C이고, 양성자의 전하량은 +1.602 x 10^-19 C입니다.
전기장
전기장은 전하에 의해 만들어집니다. 전기장은 하전된 물체 주변의 공간 영역으로, 다른 하전된 물체가 힘을 경험합니다. 전기장은 양전하에 가해지는 힘의 방향을 나타내는 전기장 선으로 표시됩니다. 전계선의 밀도는 전기장의 세기를 나타냅니다.
쿨롱의 법칙 응용
쿨롱의 법칙은 전기력과 전기장에 관한 법칙으로, 전자기학의 기본 법칙 중 하나입니다. 쿨롱의 법칙은 다양한 분야에 응용할 수 있습니다. 예를 들어,
- 통신: 쿨롱의 법칙을 이용하여 안테나의 방사파를 계산하거나, 전자기파의 편광을 분석하거나, 전자기파의 간섭과 회절을 이해할 수 있습니다.
- 복사기: 쿨롱의 법칙을 이용하여 정전기를 발생시키고, 원하는 이미지를 토너에 전달하고, 종이에 인쇄하는 과정을 설명할 수 있습니다.
- 위성: 쿨롱의 법칙을 이용하여 지구와 태양의 전하 분포를 모델링하고, 위성의 궤도와 자세 제어를 위한 전기추진 시스템을 설계할 수 있습니다.
이 외에도 쿨롱의 법칙은 원자와 분자의 구조와 결합, 물질의 물리적 성질과 화학적 반응, 생물학적 현상과 의료 기술 등에도 적용될 수 있습니다. 쿨롱의 법칙은 우리 주변의 많은 현상을 설명하고 예측하는 데 도움이 되는 법칙입니다.
쿨롱의 법칙과 뉴턴의 법칙과의 관계
쿨롱의 법칙과 뉴턴의 법칙은 모두 역제곱 법칙의 형태를 가지고 있습니다. 즉, 두 물체 사이에 작용하는 힘은 두 물체의 성질에 비례하고, 거리의 제곱에 반비례한다는 것입니다. 쿨롱의 법칙에서는 두 물체가 전하를 가지고 있고, 전기력이 작용하며, 쿨롱 상수 k가 비례상수입니다1. 뉴턴의 법칙에서는 두 물체가 질량을 가지고 있고, 중력이 작용하며, 중력상수 G가 비례상수입니다.
캐패시턴스: 캐패시터 / 콘덴서 / 베터리 다 같은말 아닌가요?
캐패시턴스: 캐패시터 / 콘덴서 / 베터리 다 같은말 아닌가요?
안녕하세요. 대천사의집입니다. 전기, 전자에서 캐패시터와 콘덴서는 같은 말입니다. 전기를 저장했다가 방전하는 장치로 이것은 배터리와 같은데요. 그러면 이 세 단어 다 같은 말이냐 하면,
sohigeonmin.com
'전기와주변생활' 카테고리의 다른 글
| 1마력 모터 돌리기: 기동에 필요한 최소한의 재료 (0) | 2023.03.30 |
|---|---|
| 연료비연동제란? - 장점과 단점, 연료비연동와 전기요금의 관계 (0) | 2023.03.29 |
| 플레밍의 오른손 법칙: 전자기 유도의 기본 이해 (1) | 2023.03.26 |
| 온도 컨트롤러: LBA, SBA에 대한 이해, 사용하는 이유 (0) | 2023.03.22 |
| 계약전력의 증설비용 이해하기 (0) | 2023.03.21 |
댓글