모터 명판에 보면 모터의 극 수가 표시되어 있습니다. 2극 모터 또는 4극 모터 이런식으로 몇극 모터라고 말하는데요. 극이라는 것은 우리가 남극 북극 할 때 그 극입니다. 모터에서는 자석의 N극과 S극을 말하는 것이죠. 모터의 극 수는 회전자의 극 수입니다. 이 글은 모터의 극 수에 관한 글입니다.

모터의 극 수
모터의 극 수는 모터에 있는 N극과 S극의 자석 극의 수입니다. 모터에는 당연히 항상 같은 수의 N극과 S극이 있습니다. 예를 들어, 12극 모터에는 N극 6개와 S극 6개가 있습니다.
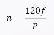
모터에 극 수가 있는 이유는 모터의 회전을 위해서입니다. 모터는 고정자와 회전자로 구성되어 있고, 고정자에는 전원이 인가되어 자기장을 형성하는 코일이 있습니다. 이 코일의 개수와 배치에 따라서 모터의 극 수가 결정됩니다. 예를 들어, 코일이 2개면 2극 모터, 4개면 4극 모터가 됩니다. 모터의 극 수가 늘어나면 회전자기장이 더 많이 형성되고, 모터의 회전수가 낮아집니다. 반대로 극 수가 줄어들면 회전자기장이 더 적게 형성되고, 모터의 회전수가 높아집니다. 모터의 회전수는 다음과 같은 공식으로 계산할 수 있습니다.

여기서 n은 동기회전수, f는 전원주파수, p는 극 수입니다.
60Hz, 6극 모터의 회전수 RPM = 120 * 60Hz / 6 = 1200 RPM 입니다.
60Hz, 2극 모터의 회전수 RPM = 120 * 60Hz / 2 = 3600 RPM 입니다.
모터의 극 수에 따라서 장점과 단점이 있습니다. 극 수가 높은 모터는 회전수가 낮아서 부하에 강하고 소음이 적지만, 크기와 가격이 비싸고 효율이 낮습니다. 극 수가 낮은 모터는 회전수가 높아서 크기와 가격이 저렴하고 효율이 높지만, 부하에 약하고 소음이 많습니다.
극 수가 높은 모터의 장점
극 수가 많은 모터를 사용하면 다음과 같은 이점이 있습니다:
- 내경(ID) 대 외경(OD) 비율 최대화
- 무게 감소
- 더 높은 주파수 코깅 토크(슬롯형 모터 관련)
- 모터 효율 향상
극 수가 높은 모터의 단점
극 수가 많은 모터의 단점은 다음과 같습니다:
- 와전류 손실 증가
- 주파수 의존적 히스테리시스 손실 증가
- 더 높은 서보 드라이브 전류 루프 대역폭
- 최대 속도 감소
모터의 극수에 따른 비교
| 극수 | 회전수 | 부하 | 소음 | 크기 | 가격 | 효율 |
| 높음 | 낮음 | 강함 | 적음 | 큼 | 비쌈 | 낮음 |
| 낮음 | 높음 | 약함 | 많음 | 작음 | 저렴함 | 높음 |
'전기와주변생활' 카테고리의 다른 글
| 터미널 압착기, 케이블 스트리퍼 반자동 기계 (0) | 2023.05.10 |
|---|---|
| 변압기의 정격전류 구하는 방법 (0) | 2023.05.07 |
| A접점 B접점 (0) | 2023.05.02 |
| 생할속의 간단한 전기지식 - 전기요금 계산 (0) | 2023.04.27 |
| 전기저항 저항계수 측정방법 (0) | 2023.04.24 |
댓글